搜索
学校主页
Toggle navigation
网站首页
招生公告
招生动态
招生章程
专业介绍
走进科院
学生活动
校园风光
学生竞赛
常见问题
联系我们
首页
>
招生公告
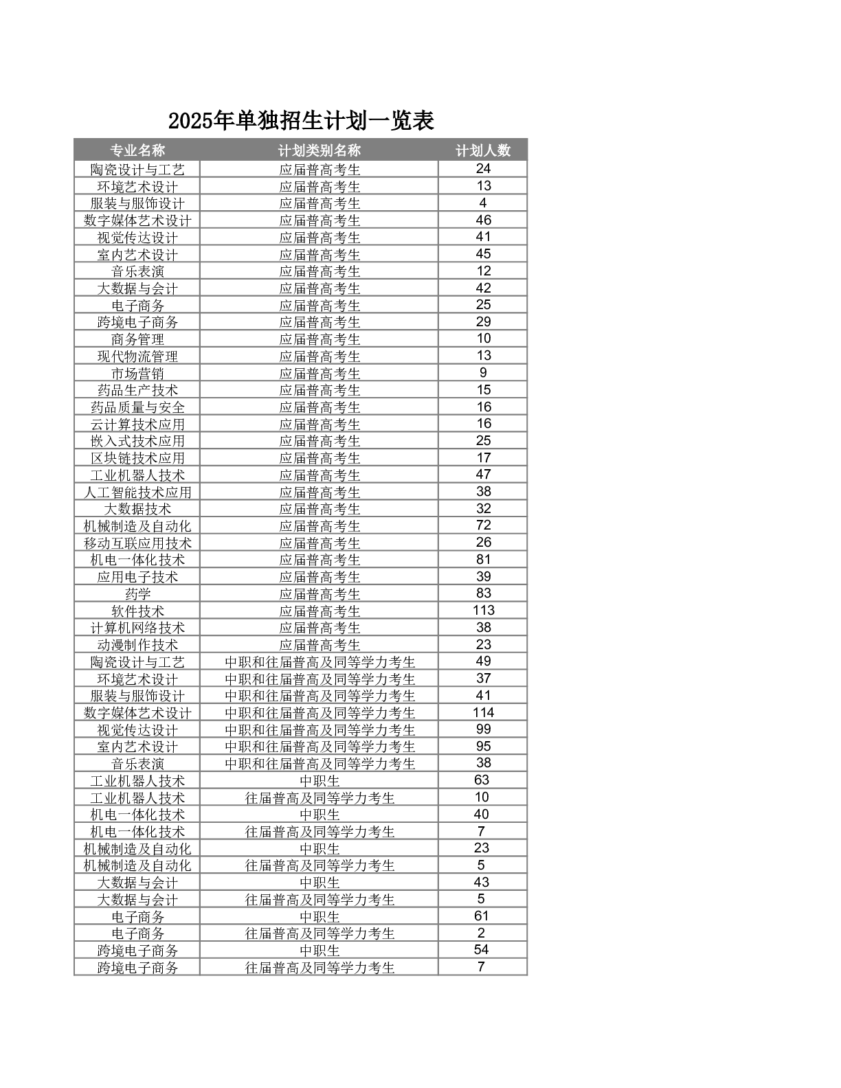
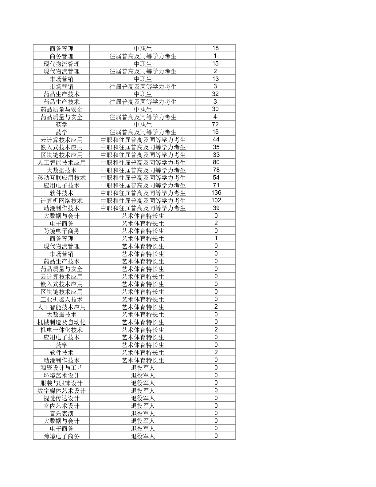
2025年单独招生计划一览表
日期:2025-03-12 16:10:08 发布人:Kjxy_zsb 浏览量:
5074
操作>>
【
收藏本页
】
上一篇:
湖南科技职业学院2025年单招第一志愿 拟录取名单及录取分数线公示
下一篇:
关于防范虚假招生信息的声明
返回首页
关闭页面
分享到
相关链接